В наличии Погружной насос 2/3QGD для глубоких скважин готов к немедленной доставке, обеспечивая быстрый и удобный доступ к высококачественным насосным решениям. Идентификатор* 2 кг*2: Диаметр скважины: 52 мм (2 дюйма).* Вопрос: Название насоса*D: Однофазный двигатель (трехфазный без D)* 1: Производительность (м³/ч)* 60: давление воды (м)* 0,25: Мощность двигателя (кВт)
1. Для подачи воды из колодцев или резервуаров.
2. Для бытового, гражданского и промышленного использования.
3. Для использования в саду и орошения.
1. Максимальная температура жидкости может достигать +35°С.
2 Максимальное содержание песка: 0,25%.
3 Максимальная глубина погружения: 100м.
4.Минимальный диаметр скважины: 2 дюйма.
1. Оснащен блоком управления запуском или цифровым блоком автоматического управления.
2. Стандарты размеров NEMA
3. Конструкция насоса с учетом нагрузки на корпус
4. Электродвигатель с несколькими обмотками или полностью закрытым экраном.
5. Однофазный: 220–240 В/50 Гц.
6. Трехфазный: 380–415 В/50 Гц.
1. Специальное механическое уплотнение.
2. Другие напряжения или частоты 60 Гц.
| Парашютистский масштаб | |||||
| Модель | A | B | C | D | E |
| 2QGD1-60-0,25 | 688 | 520 | 168 | 0,5 дюйма | ф50 |
| 3QGD1.5-60-0.25 | 540 | 365 | 195 | 1" | ф73 |
| 3QGD1.7-80-0.37 | 580 | 385 | 195 | 1" | ф73 |
| 3QGD1.7-105-0.55 | 610 | 415 | 195 | 1" | ф73 |
| 3QGD2-115-0,75 | 652 | 445 | 207 | 1" | ф73 |
| Модель | П2 |
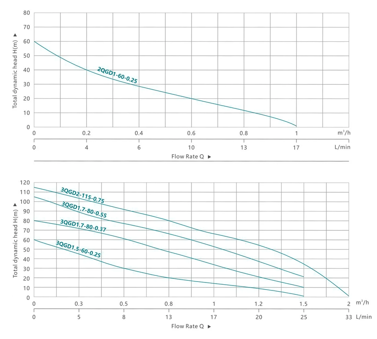
Q л/мин м³/ч |
0 | 4 | 6 | 10 | 13 | 17 | |||||||
| 1~220 В/240 В | КВт | HP | |||||||||||||
| 0 | 0.2 | 0.4 | 0.6 | 0.8 | 1 | ||||||||||
| 2QGD1-60-0,25 | 0.25 | 0.33 | Н(м) | 60 | 40 | 29 | 20 | 12 | 1 | ||||||
| Модель | П2 |
Q л/мин м³/ч |
0 | 5 | 8 | 13 | 17 | 20 | 25 | 33 | |||||
| 1~220 В/240 В | КВт | HP | |||||||||||||
| 0 | 0.3 | 0.5 | 0.8 | 1 | 1.2 | 1.5 | 2 | ||||||||
| 3QGD1.5-60-0.25 | 0.25 | 0.33 | Н(м) | 60 | 45 | 30 | 20 | 12 | 9 | 1 | |||||
| 3QGD1.7-80-0.37 | 0.37 | 0.5 | 80 | 72 | 61 | 47 | 34 | 21 | 10 | ||||||
| 3QGD1.7-105-0.55 | 0.55 | 0.75 | 105 | 90 | 78 | 64 | 52 | 38 | 21 | ||||||
| 3QGD2-115-0,75 | 0.75 | 1.0 | 115 | 103 | 92 | 80 | 67 | 53 | 36 | 1 | |||||
| Числа | Имя |
| 1 | Зажимная пружина |
| 2 | Торцевая крышка |
| 3 | расширительная втулка |
| 4 | Емкость |
| 5 | Несущий |
| 6 | Отношение |
| 7 | ротор двигателя |
| 8 | Механическое уплотнение |
| 9 | статор электродвигателя |
| 10 | Электрический провод |
| 11 | Винт |
| 12 | Стиральная машина |
| 13 | Уплотнительное кольцо в форме буквы «О». |
| 14 | Топливная камера |
| 15 | Уплотнительное кольцо в форме буквы «О». |
| 16 | Винт |
| 17 | Болт с двойной головкой |
| 18 | Стиральная машина |
| 19 | Грецкие орехи |
| 20 | Крепёжное кольцо |
| 21 | Стиральная машина |
| 22 | Песчаная шапка |
| 23 | Экранирующая втулка кабеля |
| 24 | Винт |
| 25 | Крыло |
| 26 | Корпус насоса |
| 27 | Карданная муфта |
| 28 | Винт |
| 29 | Крышка |
| 30 | Резиновый статор |
| 31 | Кольцо |
| 32 | Выходная комната |
| 33 | защелка |
1. Выключатели питания
2. Автоматическое управление кассетами.
3. Трубопровод
4. Клапан
5. Прокладка
6. Статический уровень
7. Верхний полюс
8. Кабель
9. Ну
10. Уровень перемешивания
11. Средний стержень
12. Корпус насоса
13. Нижний полюс
14. Подводные электродвигатели.
| размер | Напряжение (В) | Мощность (кВт) | Сечение кабеля (мм²) | 0,7 мм² | 1 мм² | 1,5 мм² | 2 мм² | 2,5 мм² | 3 мм² | 4 мм² | 6 мм² | 10 мм² | 16 мм² | 25 мм² | 35 мм² | 50 мм² |
| 4" | 220 | 0.37 | Длина кабеля (м) | 50 | 80 | 100 | ||||||||||
| 0.55 | 35 | 55 | 80 | 105 | 130 | |||||||||||
| 0.75 | 20 | 35 | 55 | 75 | 90 | 110 | 150 | |||||||||
| 0.95 | 32 | 52 | 70 | 85 | 105 | 140 | ||||||||||
| 1.1 | 30 | 48 | 60 | 79 | 100 | 127 | 190 | |||||||||
| 1.5 | 25 | 34 | 50 | 57 | 80 | 92 | 137 | 228 | ||||||||
| 1.8 | 23 | 32 | 48 | 55 | 78 | 90 | 135 | 226 | ||||||||
| 2.2 | 22 | 30 | 43 | 50 | 68 | 102 | 170 | 230 | ||||||||
| 3.0 | 25 | 30 | 45 | 60 | 80 | 120 | 200 | 330 | ||||||||
| 3.5 | 25 | 30 | 45 | 60 | 100 | 180 | 290 | |||||||||
| 4.0 | 25 | 35 | 55 | 90 | 150 | 220 | 300 |
| размер | Напряжение (В) | Мощность (кВт) | Сечение кабеля (мм²) | 0,7 мм² | 1 мм² | 1,5 мм² | 2 мм² | 2,5 мм² | 3 мм² | 4 мм² | 6 мм² | 10 мм² | 16 мм² | 25 мм² | 35 мм² | 50 мм² |
| 4" | 380 | 0.37 | Длина кабеля (м) | 200 | 315 | |||||||||||
| 0.55 | 100 | 210 | 320 | |||||||||||||
| 0.75 | 80 | 165 | 280 | |||||||||||||
| 1.1 | 120 | 180 | 250 | 308 | ||||||||||||
| 1.5 | 90 | 150 | 200 | 250 | 300 | 400 | ||||||||||
| 2.2 | 65 | 114 | 150 | 191 | 250 | 305 | 457 | |||||||||
| 6 дюймов | 3.0 | 77 | 100 | 128 | 170 | 205 | 307 | 390 | ||||||||
| 4.0 | 61 | 80 | 102 | 120 | 153 | 244 | 406 | |||||||||
| 5.5 | 47 | 60 | 70 | 90 | 110 | 165 | 312 | |||||||||
| 7.5 | 65 | 80 | 130 | 200 | 320 | |||||||||||
| 9.2 | 72 | 108 | 178 | 282 | 432 | |||||||||||
| 11 | 63 | 94 | 155 | 246 | 370 | |||||||||||
| 13 | 78 | 129 | 205 | 314 | ||||||||||||
| 15 | 69 | 114 | 180 | 277 | ||||||||||||
| 18.5 | 55 | 91 | 145 | 222 | 305 | |||||||||||
| 22 | 49 | 81 | 128 | 196 | 290 | |||||||||||
| 25 | 68 | 107 | 165 | 226 | 314 | |||||||||||
| 30 | 60 | 95 | 145 | 200 | 275 | |||||||||||
| 37 | 52 | 82 | 125 | 170 | 234 | |||||||||||
| 45.0 | 45 | 71 | 108 | 147 | 203 |