Глубоководный насос из нержавеющей стали марки ZΞN 4SDM — идеальный выбор для тех, кому нужно надежное, эффективное и инновационное решение для перекачки воды. Доверьтесь бренду ZEN во всех вопросах, связанных с перекачиванием глубоких скважин. Идентификатор*День 4*4: Диаметр скважины: 100 мм (4 дюйма).* SD: подводные насосы серии SD.* M: однофазный двигатель (трехфазный без M)*2: Вместимость (м3/час)* 6: Сцена* 0,25: Мощность двигателя (кВт)
1. Для подачи воды из колодцев или резервуаров.
2. Используется в бытовых, гражданских и промышленных целях.
3. Для использования в садах и орошения.
1. Максимальная температура жидкости до +35°С.
2. Максимальное содержание песка: 0,25%.
3. Максимальная глубина погружения: 100 метров.
4. Минимальный диаметр скважины: 4 дюйма.
1. Электродвигатель с несколькими обмотками или полностью закрытым экраном.
2. Три фазы: 380–415 В/50 Гц.
3. Только один. Фаза: 220–240 В/50 Гц
4. Оборудован блоком управления запуском или цифровым автоматическим блоком управления.
5. Насос рассчитан на нагрузку на обсадную колонну.
6. Стандарты размеров NEMA
1. Специальное механическое уплотнение.
2. Другие напряжения или частоты 60 Гц.
| Модель | П2 | Подача n = 2850 об/мин | |||||||||||||||
| 1~220В/240В | 3~380 В/415 В | КВт | HP |
Q л/мин m3/час |
0 | 5 | 10 | 15 | 20 | 25 | 30 | 35 | 40 | 45 | 50 | 55 | 60 |
| 0 | 0.3 | 0.6 | 0.9 | 1.2 | 1.5 | 1.8 | 2.1 | 2.4 | 2.7 | 3 | 3.3 | 3.6 | |||||
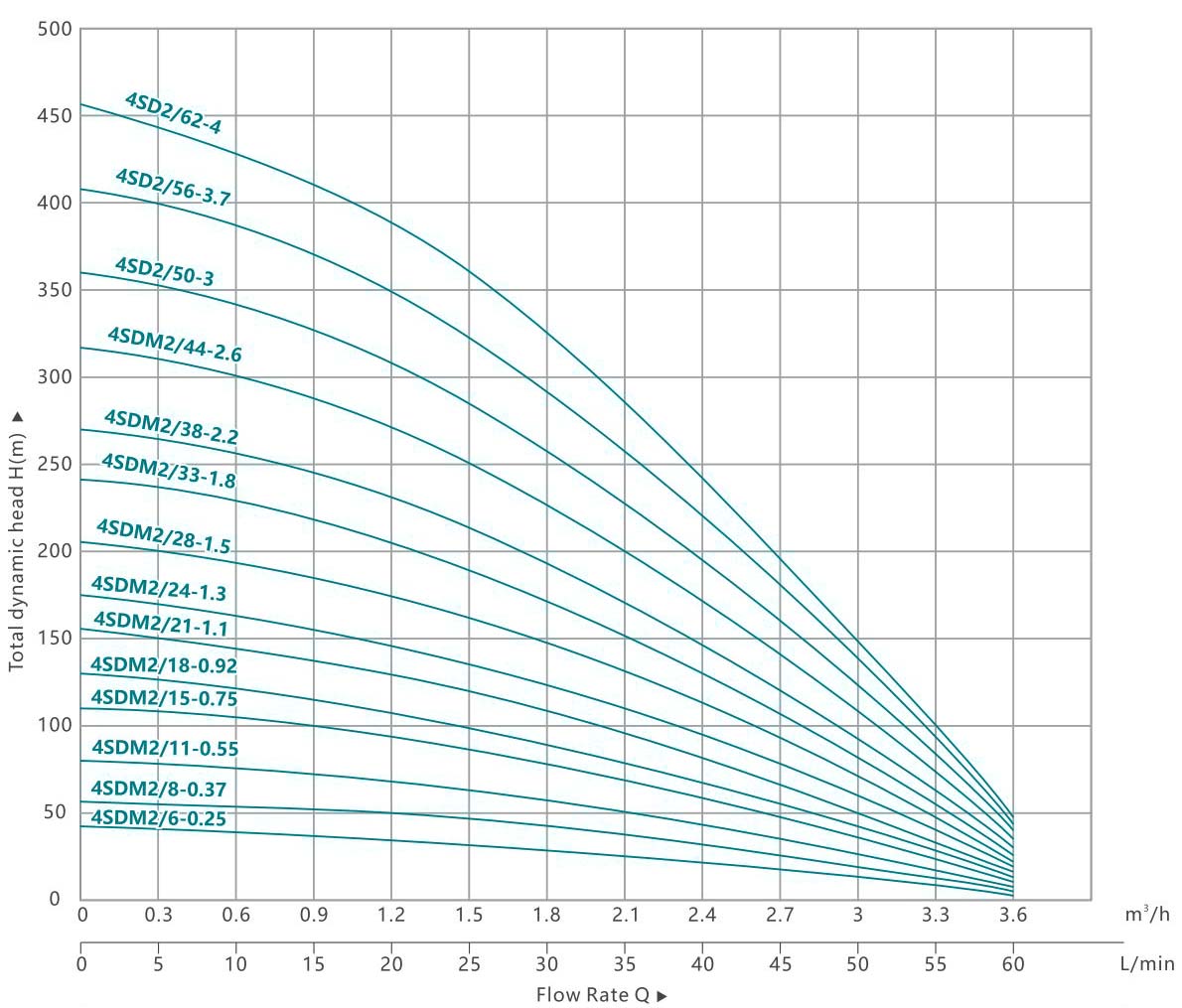
| 4СДМ2/6-0,25 | 4СД2/6-0,25 | 0.25 | 0.33 | Н(м) | 44 | 43 | 41 | 39 | 37 | 35 | 31 | 28 | 25 | 20 | 14 | 10 | 4 |
| 4СДМ2/8-0,37 | 4СД2/8-0,37 | 0.37 | 0.5 | 58 | 57 | 55 | 52 | 50 | 47 | 42 | 37 | 33 | 27 | 19 | 14 | 6 | |
| 4СДМ2/11-0,55 | 4СД2/11-0,55 | 0.55 | 0.75 | 80 | 79 | 76 | 72 | 68 | 65 | 57 | 51 | 45 | 37 | 26 | 19 | 8 | |
| 4СДМ2/15-0,75 | 4СД2/15-0,75 | 0.75 | 1 | 110 | 107 | 104 | 98 | 93 | 89 | 78 | 69 | 62 | 51 | 36 | 26 | 11 | |
| 4СДМ2/18-0,92 | 4СД2/18-0,92 | 0.92 | 1.25 | 131 | 129 | 124 | 117 | 112 | 106 | 94 | 83 | 74 | 61 | 43 | 31 | 13 | |
| 4СДМ2/21-1.1 | 4СД2/21-1.1 | 1.1 | 1.5 | 153 | 150 | 145 | 137 | 130 | 124 | 109 | 97 | 86 | 71 | 50 | 36 | 15 | |
| 4СДМ2/24-1,3 | 4СД2/24-1,3 | 1.3 | 1.75 | 175 | 172 | 166 | 156 | 149 | 142 | 125 | 110 | 98 | 82 | 58 | 41 | 17 | |
| 4СДМ2/28-1,5 | 4СД2/28-1,5 | 1.5 | 2 | 204 | 200 | 193 | 182 | 174 | 165 | 146 | 129 | 115 | 95 | 67 | 48 | 20 | |
| 4СДМ2/33-1,8 | 4СД2/33-1,8 | 1.8 | 2.5 | 241 | 236 | 228 | 215 | 205 | 195 | 172 | 152 | 135 | 112 | 79 | 56 | 23 | |
| 4СДМ2/38-2,2 | 4СД2/38-2,2 | 2.2 | 3 | 277 | 272 | 262 | 247 | 236 | 224 | 198 | 175 | 156 | 129 | 91 | 65 | 27 | |
| 4СДМ2/44-2,6 | 4СД2/44-2,6 | 2.6 | 3.5 | 321 | 315 | 304 | 286 | 273 | 260 | 229 | 202 | 180 | 150 | 106 | 75 | 31 | |
| / | 4СД2/50-3 | 3 | 4 | 365 | 358 | 345 | 325 | 310 | 295 | 260 | 230 | 205 | 170 | 120 | 85 | 35 | |
| / | 4СД2/56-3,7 | 3.7 | 5 | 409 | 400 | 386 | 364 | 347 | 330 | 291 | 258 | 230 | 190 | 134 | 95 | 39 | |
| / | 4СД2/62-4 | 4 | 5.5 | 453 | 443 | 428 | 403 | 384 | 366 | 322 | 285 | 254 | 211 | 149 | 105 | 43 | |
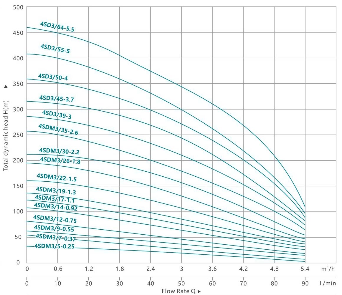
| Модель | П2 | Подача n = 2850 об/мин | ||||||||||||
| 1~220В/240В | 3~380 В/415 В | КВт | HP |
Q л/мин m3/час |
0 | 10 | 20 | 30 | 40 | 50 | 60 | 70 | 80 | 90 |
| 0 | 0.6 | 1.2 | 1.8 | 2.4 | 3 | 3.6 | 4.2 | 4.8 | 5.4 | |||||
| 4СДМ3/5-0,25 | 4СД3/5-0,25 | 0.25 | 0.33 | Н(м) | 37 | 36 | 34 | 32 | 29 | 27 | 24 | 20 | 16 | 9 |
| 4СДМ3/7-0,37 | 4СД3/7-0,37 | 0.37 | 0.5 | 51 | 50 | 48 | 45 | 41 | 37 | 34 | 28 | 22 | 13 | |
| 4СДМ3/9-0,55 | 4СД3/9-0,55 | 0.55 | 0.75 | 66 | 64 | 61 | 58 | 52 | 48 | 43 | 36 | 29 | 16 | |
| 4СДМ3/12-0,75 | 4СД3/12-0,75 | 0.75 | 1 | 88 | 85 | 82 | 77 | 70 | 64 | 58 | 48 | 38 | 22 | |
| 4СДМ3/14-0,92 | 4СД3/14-0,92 | 0.92 | 1.25 | 102 | 99 | 95 | 90 | 81 | 75 | 67 | 56 | 45 | 25 | |
| 4СДМ3/17-1.1 | 4СД3/17-1.1 | 1.1 | 1.5 | 124 | 121 | 116 | 109 | 99 | 91 | 82 | 68 | 54 | 31 | |
| 4СДМ3/19-1,3 | 4СД3/19-1,3 | 1.3 | 1.75 | 139 | 135 | 129 | 122 | 110 | 102 | 91 | 76 | 61 | 34 | |
| 4СДМ3/22-1,5 | 4СД3/22-1,5 | 1.5 | 2 | 161 | 156 | 150 | 141 | 128 | 118 | 106 | 88 | 70 | 40 | |
| 4СДМ3/26-1,8 | 4СД3/26-1,8 | 1.8 | 2.5 | 190 | 185 | 177 | 166 | 151 | 139 | 125 | 104 | 83 | 47 | |
| 4СДМ3/30-2,2 | 4СД3/30-2,2 | 2.2 | 3 | 219 | 213 | 204 | 192 | 174 | 161 | 144 | 120 | 96 | 54 | |
| 4СДМ3/35-2,6 | 4СД3/35-2,6 | 2.6 | 3.5 | 256 | 249 | 238 | 224 | 203 | 187 | 168 | 140 | 112 | 63 | |
| / | 4СД3/39-3 | 3 | 4 | 285 | 277 | 265 | 250 | 226 | 209 | 187 | 156 | 125 | 70 | |
| / | 4СД3/45-3,7 | 3.7 | 5 | 329 | 320 | 306 | 288 | 261 | 241 | 216 | 180 | 144 | 81 | |
| / | 4СД3/50-4 | 4 | 5.5 | 365 | 355 | 340 | 320 | 290 | 268 | 240 | 200 | 160 | 90 | |
| / | 4СД3/55-5 | 5 | 7 | 402 | 391 | 374 | 352 | 319 | 294 | 264 | 220 | 176 | 99 | |
| / | 4СД3/64-5,5 | 5.5 | 7.5 | 467 | 454 | 435 | 410 | 371 | 342 | 307 | 256 | 205 | 115 | |
| Модель | П2 | Данные о производительности 50 Гц | |||||||||||||
| 1~220В/240В | 3~380 В/415 В | КВт | HP |
Q л/мин m3/час |
0 | 10 | 20 | 30 | 40 | 50 | 60 | 70 | 80 | 90 | 100 |
| 0 | 0.6 | 1.2 | 1.8 | 2.4 | 3 | 3.6 | 4.2 | 4.8 | 5.4 | 6 | |||||
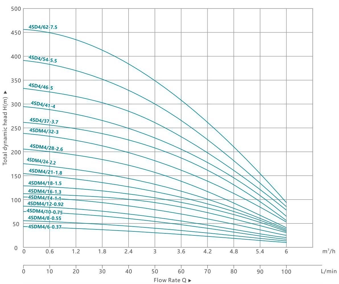
| 4СДМ4/6-0,37 | 4СД4/6-0,37 | 0.37 | 0.5 | Н(м) | 44 | 43 | 40 | 39 | 37 | 34 | 30 | 25 | 20 | 16 | 10 |
| 4СДМ4/8-0,55 | 4СД4/8-0,55 | 0.55 | 0.75 | 58 | 57 | 54 | 52 | 49 | 46 | 40 | 34 | 27 | 21 | 13 | |
| 4СДМ4/10-0,75 | 4СД4/10-0,75 | 0.75 | 1 | 73 | 71 | 67 | 65 | 61 | 57 | 50 | 42 | 34 | 26 | 16 | |
| 4СДМ4/12-0,92 | 4СД4/12-0,92 | 0.92 | 1.25 | 88 | 85 | 80 | 78 | 73 | 68 | 60 | 50 | 41 | 31 | 19 | |
| 4СДМ4/14-1.1 | 4СД4/14-1.1 | 1.1 | 1.5 | 102 | 99 | 94 | 91 | 85 | 80 | 70 | 59 | 48 | 36 | 22 | |
| 4СДМ4/16-1,3 | 4СД4/16-1,3 | 1.3 | 1.75 | 117 | 114 | 107 | 104 | 98 | 91 | 80 | 67 | 54 | 42 | 26 | |
| 4СДМ4/18-1,5 | 4СД4/18-1,5 | 1.5 | 2 | 131 | 128 | 121 | 117 | 110 | 103 | 90 | 76 | 61 | 47 | 29 | |
| 4СДМ4/21-1,8 | 4СД4/21-1,8 | 1.8 | 2.5 | 153 | 149 | 141 | 137 | 128 | 120 | 105 | 88 | 71 | 55 | 34 | |
| 4СДМ4/24-2,2 | 4СД4/24-2,2 | 2.2 | 3 | 175 | 170 | 161 | 156 | 146 | 137 | 120 | 101 | 82 | 62 | 38 | |
| 4СДМ4/28-2,6 | 4СД4/28-2,6 | 2.6 | 3.5 | 204 | 199 | 188 | 182 | 171 | 160 | 140 | 118 | 95 | 73 | 45 | |
| 4СДМ4/32-3 | 4СД4/32-3 | 3 | 4 | 234 | 227 | 214 | 208 | 195 | 182 | 160 | 134 | 109 | 83 | 51 | |
| / | 4СД4/37-3,7 | 3.7 | 5 | 270 | 263 | 248 | 241 | 226 | 211 | 185 | 155 | 126 | 96 | 59 | |
| / | 4СД4/41-4 | 4 | 5.5 | 299 | 291 | 275 | 267 | 250 | 234 | 205 | 172 | 139 | 107 | 66 | |
| / | 4СД4/46-5 | 5 |
7 |
336 | 327 | 308 | 299 | 281 | 262 | 230 | 193 | 156 | 120 | 74 | |
| / | 4СД4/54-5,5 | 5.5 | 7.5 | 394 | 383 | 362 | 351 | 329 | 308 | 270 | 227 | 184 | 140 | 86 | |
| / | 4СД4/62-7,5 | 7.5 | 10 | 453 | 440 | 415 | 403 | 378 | 353 | 310 | 260 | 211 | 161 | 99 | |
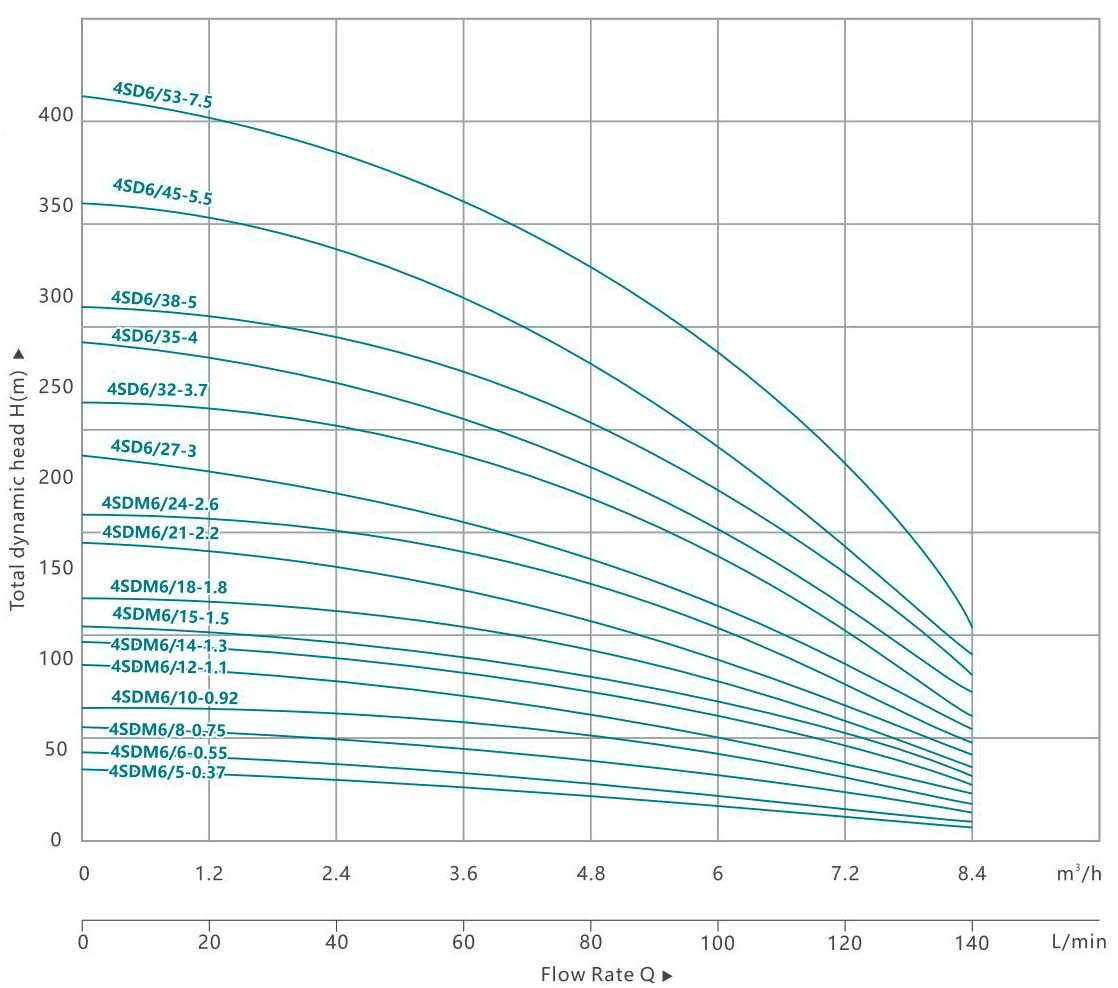
| Модель | П2 | Подача n = 2850 об/мин | ||||||||||
| 1~220В/240В | 3~380 В/415 В | КВт | HP |
Q л/мин m3/час |
0 | 20 | 40 | 60 | 80 | 100 | 120 | 140 |
| 0 | 1.2 | 2.4 | 3.6 | 4.8 | 6 | 7.2 | 8.4 | |||||
| 4СДМ6/5-0,37 | 4СД6/5-0,37 | 0.37 | 0.5 | Н(м) | 35 | 34 | 32 | 29 | 27 | 21 | 16 | 10 |
| 4СДМ6/6-0,55 | 4СД6/6-0,55 | 0.55 | 0.75 | 41 | 40 | 38 | 35 | 32 | 25 | 19 | 12 | |
| 4СДМ6/8-0,75 | 4СД6/8-0,75 | 0.75 | 1 | 55 | 54 | 50 | 46 | 43 | 34 | 26 | 16 | |
| 4СДМ6/10-0,92 | 4СД6/10-0,92 | 0.92 | 1.25 | 69 | 67 | 63 | 58 | 54 | 42 | 32 | 20 | |
| 4СДМ6/12-1.1 | 4СД6/12-1.1 | 1.1 | 1.5 | 83 | 80 | 76 | 70 | 65 | 50 | 38 | 24 | |
| 4СДМ6/14-1,3 | 4СД6/14-1,3 | 1.3 | 1.75 | 97 | 94 | 88 | 81 | 76 | 59 | 45 | 28 | |
| 4СДМ6/15-1,5 | 4СД6/15-1,5 | 1.5 | 2 | 104 | 101 | 95 | 87 | 81 | 63 | 48 | 30 | |
| 4СДМ6/18-1,8 | 4СД6/18-1,8 | 1.8 | 2.5 | 124 | 121 | 113 | 104 | 97 | 76 | 58 | 36 | |
| 4СДМ6/21-2,2 | 4СД6/21-2,2 | 2.2 | 3 | 145 | 141 | 132 | 122 | 113 | 88 | 67 | 42 | |
| 4СДМ6/24-2,6 | 4СД6/24-2,6 | 2.6 | 3.5 | 166 | 161 | 151 | 139 | 130 | 101 | 77 | 48 | |
| / | 4СД6/27-3 | 3 | 4 | 186 | 181 | 170 | 157 | 146 | 113 | 86 | 54 | |
| / | 4СД6/32-3,7 | 3.7 | 5 | 221 | 214 | 202 | 186 | 173 | 134 | 102 | 64 | |
| / | 4СД6/35-4 | 4 | 5.5 | 242 | 235 | 221 | 203 | 189 | 147 | 112 | 70 | |
| / | 4СД6/38-5 | 5 | 7 | 262 | 255 | 239 | 220 | 205 | 160 | 122 | 76 | |
| / | 4СД6/45-5,5 | 5.5 | 7.5 | 311 | 302 | 284 | 261 | 243 | 189 | 144 | 90 | |
| / | 4СД6/53-7,5 | 7.5 | 10 | 366 | 355 | 334 | 307 | 286 | 223 | 170 | 106 | |
| Модель | П2 | Подача n = 2850 об/мин | |||||||||||||
| 1~220 В/240 В | 3~380 В/415 В | КВт | HP |
Q л/мин m3/час |
0 | 20 | 40 | 60 | 80 | 100 | 120 | 140 | 160 | 180 | 200 |
| 0 | 1.2 | 2.4 | 3.6 | 4.8 | 6 | 7.2 | 8.4 | 9.6 | 10.8 | 12 | |||||
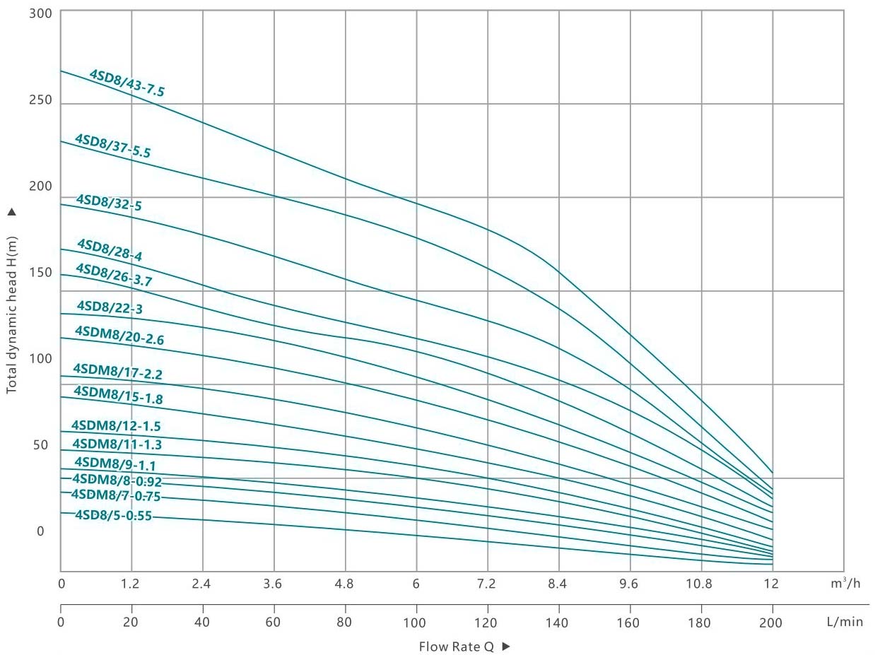
| 4СДМ8/5-0,55 | 4СД8/5-0,55 | 0.55 | 0.75 | Н(м) | 31 | 30 | 27 | 26 | 24 | 23 | 21 | 18 | 14 | 9 | 5 |
| 4СДМ8/7-0,75 | 4СД8/7-0,75 | 0.75 | 1 | 43 | 41 | 37 | 36 | 34 | 32 | 29 | 25 | 20 | 13 | 7 | |
| 4СДМ8/8-0,92 | 4СД8/8-0,92 | 0.92 | 1.25 | 50 | 47 | 42 | 41 | 38 | 36 | 34 | 29 | 22 | 14 | 8 | |
| 4СДМ8/9-1.1 | 4СД8/9-1.1 | 1.1 | 1.5 | 56 | 53 | 48 | 46 | 43 | 41 | 38 | 32 | 25 | 16 | 9 | |
| 4СДМ8/11-1,3 | 4СД8/11-1,3 | 1.3 | 1.75 | 68 | 65 | 58 | 56 | 53 | 50 | 46 | 40 | 31 | 20 | 12 | |
| 4СДМ8/12-1,5 | 4СД8/12-1,5 | 1.5 | 2 | 74 | 71 | 64 | 61 | 58 | 54 | 50 | 43 | 34 | 22 | 13 | |
| 4СДМ8/15-1,8 | 4СД8/15-1,8 | 1.8 | 2.5 | 93 | 90 | 81 | 78 | 73 | 69 | 64 | 56 | 44 | 30 |
18 |
|
| 4СДМ8/17-2,2 | 4СД8/17-2,2 | 2.2 | 3 | 106 | 102 | 92 | 88 | 83 | 78 | 73 | 64 | 50 | 34 | 20 | |
| 4СДМ8/20-2,6 | 4СД8/20-2,6 | 2.6 | 3.5 | 125 | 120 | 108 | 104 | 98 | 92 | 86 | 75 | 59 | 40 | 24 | |
| / | 4СД8/22-3 | 3 | 4 | 137 | 132 | 119 | 114 | 107 | 101 | 94 | 83 | 65 | 44 | 26 | |
| / | 4СД8/26-3,7 | 3.7 | 5 | 162 | 156 | 140 | 135 | 127 | 119 | 112 | 98 | 76 | 52 | 31 | |
| / | 4СД8/28-4 | 4 | 5.5 | 174 | 168 | 151 | 145 | 137 | 129 | 120 | 105 | 82 | 56 | 33 | |
| / | 4СД8/32-5 | 5 | 7 | 199 | 192 | 173 | 166 | 156 | 147 | 137 | 120 | 94 | 64 | 38 | |
| / | 4СД8/37-5,5 | 5.5 | 7.5 | 231 | 222 | 200 | 192 | 181 | 170 | 159 | 139 | 109 | 74 | 44 | |
| / | 4СД8/43-7,5 | 7.5 | 10 | 268 | 258 | 232 | 223 | 210 | 197 | 184 | 162 | 126 | 86 | 51 | |
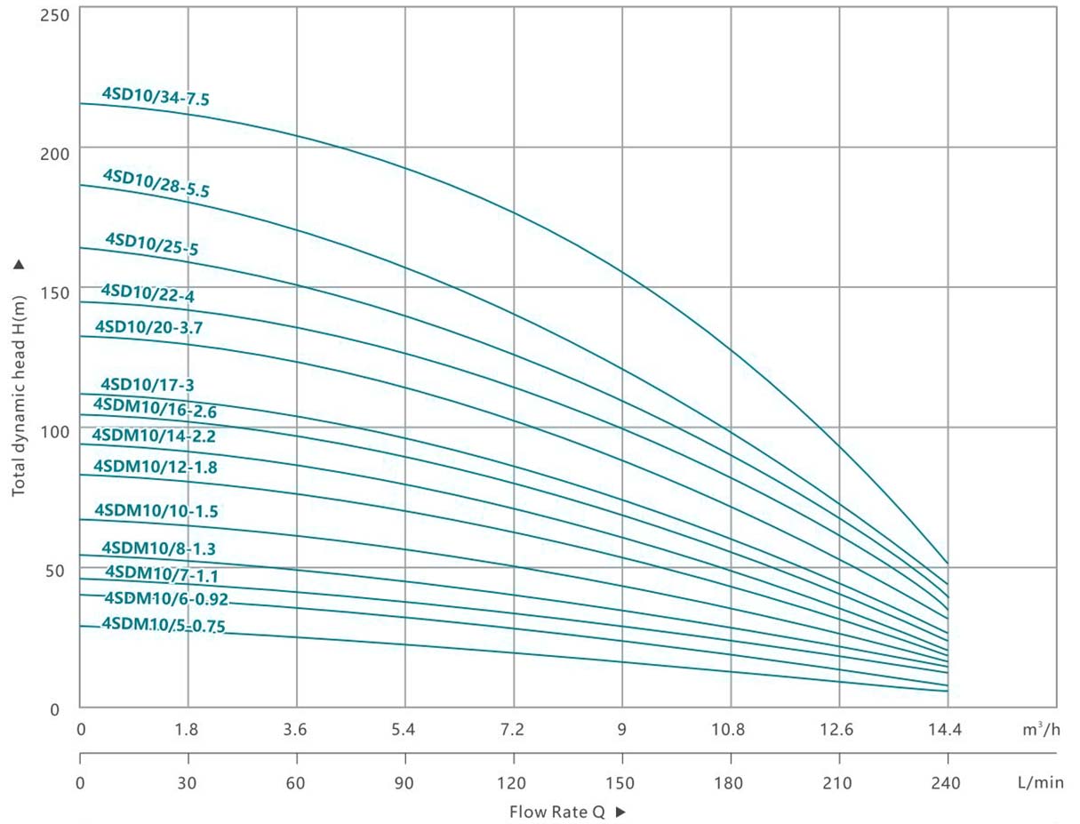
| Модель | П2 | Подача n = 2850 об/мин | ||||||||||||
| 1~220В/240В | 3~380 В/415 В | КВт | HP |
Q л/мин m3/час |
0 | 30 | 60 | 90 | 120 | 150 | 180 | 210 | 240 | 270 |
| 0 | 1.8 | 3.6 | 5.4 | 7.2 | 9 | 10.8 | 12.6 | 14.4 | 16.2 | |||||
| 4СДМ12/4-0,75 | 4СД12/4-0,75 | 0.75 | 1 | Н(м) | 25 | 24 | 23 | 21 | 19 | 18 | 15 | 12 | 9 | 4 |
| 4СДМ12/5-0,92 | 4СД12/5-0,92 | 0.92 | 1.25 | 32 | 30 | 29 | 26 | 24 | 22 | 19 | 15 | 12 | 5 | |
| 4СДМ12/6-1,1 | 4СД12/6-1.1 | 1.1 | 1.5 | 38 | 36 | 34 | 31 | 29 | 26 | 23 | 18 | 14 | 6 | |
| 4СДМ12/7-1,3 | 4СД12/7-1,3 | 1.3 | 1.75 | 44 | 42 | 40 | 36 | 34 | 31 | 27 | 21 | 16 | 7 | |
| 4СДМ12/8-1,5 | 4СД12/8-1,5 | 1.5 | 2 | 50 | 48 | 46 | 42 | 38 | 35 | 30 | 24 | 18 | 8 | |
| 4СДМ12/10-1,8 | 4СД12/10-1,8 | 1.8 | 2.5 | 63 | 60 | 57 | 52 | 48 | 44 | 38 | 30 | 23 | 10 | |
| 4СДМ12/11-2,2 | 4СД12/11-2,2 | 2.2 | 3 | 69 | 66 | 63 | 57 | 53 | 48 | 42 | 33 | 25 | 11 | |
| 4СДМ12/13-2,6 | 4СД12/13-2,6 | 2.6 | 3.5 | 82 | 78 | 74 | 68 | 62 | 57 | 49 | 39 | 30 | 13 | |
| / | 4СД12/15-3 | 3 | 4 | 95 | 90 | 86 | 78 | 72 | 66 | 57 | 45 | 35 | 15 | |
| / | 4СД12/17-3,7 | 3.7 | 5 | 107 | 102 | 97 | 88 | 82 | 75 | 65 | 51 | 39 | 17 | |
| / | 4СД12/19-4 | 4 | 5.5 | 120 | 114 | 108 | 99 | 91 | 84 | 72 | 57 | 44 | 19 | |
| / | 4СД12/21-5 | 5 | 7 | 132 | 126 | 120 | 109 | 101 | 92 | 80 | 63 | 48 | 21 | |
| / | 4СД12/25-5,5 | 5.5 | 7.5 | 158 | 150 | 143 | 130 | 120 | 110 | 95 | 75 | 58 | 25 | |
| / | 4СД12/29-7,5 | 7.5 | 10 | 183 | 174 | 165 | 151 | 139 | 128 | 110 | 87 | 67 | 29 | |
| Модель | П2 | Подача n = 2850 об/мин | |||||||||||
| 1~220В/240В | 3~380 В/415 В | КВт | HP |
Q л/мин m3/час |
0 | 50 | 100 | 150 | 200 | 250 | 300 | 350 | 400 |
| 0 | 3 | 6 | 9 | 12 | 15 | 18 | 21 | 24 | |||||
| 4СДМ16/4-1.1 | 4СД16/4-1.1 | 1.1 | 1.5 | Н(м) | 23 | 22 | 21 | 20 | 17 | 15 | 12 | 9 | 7 |
| 4СДМ16/5-1,3 | 4СД16/5-1,3 | 1.3 | 1.75 | 29 | 28 | 27 | 26 | 22 | 19 | 16 | 11 | 9 | |
| 4СДМ16/6-1,5 | 4СД16/6-1,5 | 1.5 | 2 | 35 | 34 | 32 | 31 | 26 | 22 | 19 | 13 | 11 | |
| 4СДМ16/8-1,8 | 4СД16/8-1,8 | 1.8 | 2.5 | 46 | 45 | 42 | 42 | 35 | 30 | 25 | 18 | 14 | |
| 4СДМ16/9-2,2 | 4СД16/9-2,2 | 2.2 | 3 | 52 | 51 | 48 | 47 | 39 | 33 | 28 | 20 | 16 | |
| 4СДМ16/10-2,6 | 4СД16/10-2,6 | 2.6 | 3.5 | 58 | 57 | 53 | 52 | 44 | 37 | 31 | 22 | 18 | |
| / | 4СД16/11-3 | 3 | 4 | 64 | 62 | 58 | 57 | 48 | 41 | 34 | 24 | 20 | |
| / | 4СД16/13-3,7 | 3.7 | 5 | 75 | 73 | 69 | 68 | 57 | 48 | 40 | 29 | 23 | |
| / | 4СД16/15-4 | 4 | 5.5 | 87 | 85 | 80 | 78 | 65 | 56 | 47 | 33 | 27 | |
| / | 4СД16/17-5 | 5 | 7 | 99 | 96 | 90 | 88 | 74 | 63 | 53 | 37 | 31 | |
| / | 4СД16/20-5,5 | 5.5 | 7.5 | 116 | 113 | 106 | 104 | 87 | 74 | 62 | 44 | 36 | |
| / | 4СД16/22-7,5 | 7.5 | 10 | 128 | 124 | 117 | 114 | 96 | 81 | 68 | 48 | 40 | |
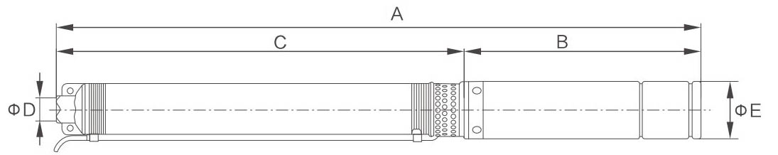
| Парашютистский масштаб | |||||
| Модель | A | B | C | D | E |
| 4СДМ2/6-0,25 | 594 | 272 | 322 | 11/4"-11/2" | f95 |
| 4СДМ2/8-0,37 | 661 | 287 | 374 | 11/4"-11/2" | f95 |
| 4СДМ2/11-0,55 | 760 | 307 | 453 | 11/4"-11/2" | f95 |
| 4СДМ2/15-0,75 | 917 | 322 | 595 | 11/4"-11/2" | f95 |
| 4СДМ2/18-0,92 | 1052 | 342 | 710 | 11/4"-11/2" | f95 |
| 4СДМ2/21-1.1 | 1181 | 392 | 789 | 11/4"-11/2" | f95 |
| 4СДМ2/24-1,3 | 1316 | 412 | 904 | 11/4"-11/2" | f95 |
| 4СДМ2/28-1,5 | 1451 | 442 | 1009 | 11/4"-11/2" | f95 |
| 4СДМ2/33-1,8 | 1623 | 482 | 1141 | 11/4"-11/2" | f95 |
| 4СДМ2/38-2,2 | 1898 | 590 | 1308 | 11/4"-11/2" | f95 |
| 4СДМ2/44-2,6 | 2142 | 640 | 1502 | 11/4"-11/2" | f95 |
| 4СД2/50-3 | 2271 | 605 | 1666 | 11/4"-11/2" | f95 |
| 4СД2/56-3,7 | 2485 | 625 | 1860 | 11/4"-11/2" | f95 |
| 4СД2/62-4 | 2663 | 645 | 2018 | 11/4"-11/2" | f95 |
| 4СДМ3/5-0,25 | 583 | 272 | 311 | 11/4"-11/2" | f95 |
| 4СДМ3/7-0,37 | 657 | 287 | 370 | 11/4"-11/2" | f95 |
| 4СДМ3/9-0,55 | 736 | 307 | 429 | 11/4"-11/2" | f95 |
| 4СДМ3/12-0,75 | 875 | 322 | 553 | 11/4"-11/2" | f95 |
| 4СДМ3/14-0,92 | 954 | 342 | 612 | 11/4"-11/2" | f95 |
| 4СДМ3/17-1.1 | 1128 | 392 | 736 | 11/4"-11/2" | f95 |
| 4СДМ3/19-1,3 | 1207 | 412 | 795 | 11/4"-11/2" | f95 |
| 4СДМ3/22-1,5 | 1325 | 442 | 883 | 11/4"-11/2" | f95 |
| 4СДМ3/26-1,8 | 1519 | 482 | 1037 | 11/4"-11/2" | f95 |
| 4СДМ3/30-2,2 | 1745 | 590 | 1155 | 11/4"-11/2" | f95 |
| 4СДМ3/35-2,6 | 1978 | 640 | 1338 | 11/4"-11/2" | f95 |
| 4СД3/39-3 | 2061 | 605 | 1456 | 11/4"-11/2" | f95 |
| 4СД3/45-3,7 | 2293 | 625 | 1668 | 11/4"-11/2" | f95 |
| 4СД3/50-4 | 2466 | 645 | 1821 | 11/4"-11/2" | f95 |
| 4СД3/55-5 | 2720 | 715 | 2005 | 11/4"-11/2" | f95 |
| 4СД3/64-5,5 | 3095 | 789 | 2306 | 11/4"-11/2" | f95 |
| 4СДМ4/6-0,37 | 624 | 287 | 337 | 11/4"-11/2"-2" | f95 |
| 4СДМ4/8-0,55 | 701 | 307 | 394 | 11/4"-11/2"-2" | f95 |
| 4СДМ4/10-0,75 | 774 | 322 | 452 | 11/4"-11/2"-2" | f95 |
| 4СДМ4/12-0,92 | 888 | 342 | 546 | 11/4"-11/2"-2" | f95 |
| 4СДМ4/14-1.1 | 995 | 392 | 603 | 11/4"-11/2"-2" | f95 |
| 4СДМ4/16-1,3 | 1109 | 412 | 697 | 11/4"-11/2"-2" | f95 |
| 4СДМ4/18-1,5 | 1197 | 442 | 755 | 11/4"-11/2"-2" | f95 |
| 4СДМ4/21-1,8 | 1323 | 482 | 841 | 11/4"-11/2"-2" | f95 |
| 4СДМ4/24-2,2 | 1554 | 590 | 964 | 11/4"-11/2"-2" | f95 |
| 4СДМ4/28-2,6 | 1719 | 640 | 1079 | 11/4"-11/2"-2" | f95 |
| 4СДМ4/32-3 | 1799 | 605 | 1194 | 11/4"-11/2"-2" | f95 |
| 4СД4/37-3,7 | 2000 | 625 | 1375 | 11/4"-11/2"-2" | f95 |
| 4СД4/41-4 | 2135 | 645 | 1490 | 11/4"-11/2"-2" | f95 |
| 4СД4/46-5 | 2391 | 715 | 1676 | 11/4"-11/2"-2" | f95 |
| 4СД4/54-5,5 | 2732 | 789 | 1943 | 11/4"-11/2"-2" | f95 |
| 4СД4/62-7,5 | 3013 | 840 | 2173 | 11/4"-11/2"-2" | f95 |
| Парашютистский масштаб | |||||
| Модель | A | B | C | D | E |
| 4СДМ6/5-0,37 | 622 | 287 | 335 | 11/4"-11/2"-2" | f95 |
| 4СДМ6/6-0,55 | 677 | 307 | 370 | 11/4"-11/2"-2" | f95 |
| 4СДМ6/8-0,75 | 760 | 322 | 438 | 11/4"-11/2"-2" | f95 |
| 4СДМ6/10-0,92 | 849 | 342 | 507 | 11/4"-11/2"-2" | f95 |
| 4СДМ6/12-1.1 | 1004 | 392 | 612 | 11/4"-11/2"-2" | f95 |
| 4СДМ6/14-1,3 | 1092 | 412 | 680 | 11/4"-11/2"-2" | f95 |
| 4СДМ6/15-1,5 | 1193 | 442 | 751 | 11/4"-11/2"-2" | f95 |
| 4СДМ6/18-1,8 | 1336 | 482 | 854 | 11/4"-11/2"-2" | f95 |
| 4СДМ6/21-2,2 | 1547 | 590 | 957 | 11/4"-11/2"-2" | f95 |
| 4СДМ6/24-2,6 | 1736 | 640 | 1096 | 11/4"-11/2"-2" | f95 |
| 4СД6/27-3 | 1804 | 605 | 1199 | 11/4"-11/2"-2" | f95 |
| 4СД6/32-3,7 | 1995 | 625 | 1370 | 11/4"-11/2"-2" | f95 |
| 4СД6/35-4 | 2154 | 645 | 1509 | 11/4"-11/2"-2" | f95 |
| 4СД6/38-5 | 2327 | 715 | 1612 | 11/4"-11/2"-2" | f95 |
| 4СД6/45-5,5 | 2684 | 789 | 1895 | 11/4"-11/2"-2" | f95 |
| 4СД6/53-7,5 | 3045 | 840 | 2205 | 11/4"-11/2"-2" | f95 |
| 4СДМ8/5-0,55 | 658 | 307 | 351 | 11/2"-2" | f95 |
| 4СДМ8/7-0,75 | 749 | 322 | 427 | 11/2"-2" | f95 |
| 4СДМ8/8-0,92 | 807 | 342 | 465 | 11/2"-2" | f95 |
| 4СДМ8/9-1.1 | 895 | 392 | 503 | 11/2"-2" | f95 |
| 4СДМ8/11-1,3 | 1027 | 412 | 615 | 11/2"-2" | f95 |
| 4СДМ8/12-1,5 | 1095 | 442 | 653 | 11/2*-2" | f95 |
| 4СДМ8/15-1,8 | 1285 | 482 | 803 | 11/2"-2" | f95 |
| 4СДМ8/17-2,2 | 1469 | 590 | 879 | 11/2"-2" | f95 |
| 4СДМ8/20-2,6 | 1633 | 640 | 993 | 11/2"-2" | f95 |
| 4СД8/22-3 | 1674 | 605 | 1069 | 11/2"-2" | f95 |
| 4СД8/26-3,7 | 1883 | 625 | 1258 | 11/2"-2" | f95 |
| 4СД8/28-4 | 1978 | 645 | 1333 | 11/2"-2" | f95 |
| 4СД8/32-5 | 2237 | 715 | 1522 | 11/2"-2" | f95 |
| 4СД8/37-5,5 | 2507 | 789 | 1718 | 11/2"-2" | f95 |
| 4СД8/43-7,5 | 2822 | 840 | 1982 | 11/2"-2" | f95 |
| 4СДМ10/5-0,75 | 693 | 322 | 371 | 11/2"-2" | f95 |
| 4СДМ10/6-0,92 | 754 | 342 | 412 | 11/2"-2" | f95 |
| 4СДМ10/7-1,1 | 844 | 392 | 452 | 11/2"-2" | f95 |
| 4СДМ10/8-1,3 | 905 | 412 | 493 | 11/2"-2" | f95 |
| 4СДМ10/10-1,5 | 1052 | 442 | 610 | 11/2"-2" | f95 |
| 4СДМ10/12-1,8 | 1174 | 482 | 692 | 11/2"-2" | f95 |
| 4СДМ10/14-2,2 | 1363 | 590 | 773 | 11/2"-2" | f95 |
| 4СДМ10/16-2,6 | 1530 | 640 | 890 | 11/2"-2" | f95 |
| 4СД10/17-3 | 1536 | 605 | 931 | 11/2"-2" | f95 |
| 4СД10/20-3,7 | 1678 | 625 | 1053 | 11/2"-2" | f95 |
| 4СД10/22-4 | 1815 | 645 | 1170 | 11/2"-2" | f95 |
| 4СД10/25-5 | 2007 | 715 | 1292 | 11/2"-2" | f95 |
| 4СД10/28-5,5 | 2210 | 789 | 1421 | 11/2"-2" | f95 |
| 4СД10/34-7,5 | 2541 | 840 | 1701 | 11/2"-2" | f95 |
| Парашютистский масштаб | |||||
| Модель | A | B | C | D | E |
| 4СДМ12/4-0,75 | 689 | 322 | 367 | 11/2"-2" | f95 |
| 4СДМ12/5-0,92 | 756 | 342 | 414 | 11/2"-2" | f95 |
| 4СДМ12/6-1,1 | 854 | 392 | 462 | 11/2"-2" | f95 |
| 4СДМ12/7-1,3 | 922 | 412 | 510 | 11/2"-2" | f95 |
| 4СДМ12/8-1,5 | 1051 | 442 | 609 | 11/2"-2" | f95 |
| 4СДМ12/10-1,8 | 1186 | 482 | 704 | 11/2"-2" | f95 |
| 4СДМ12/11-2,2 | 1341 | 590 | 751 | 11/2"-2" | f95 |
| 4СДМ12/13-2,6 | 1487 | 640 | 847 | 11/2"-2" | f95 |
| 4СД12/15-3 | 1583 | 605 | 978 | 11/2"-2" | f95 |
| 4СД12/17-3,7 | 1698 | 625 | 1073 | 11/2"-2" | f95 |
| 4СД12/19-4 | 1814 | 645 | 1169 | 11/2"-2" | f95 |
| 4СД12/21-5 | 2030 | 715 | 1315 | 11/2"-2" | f95 |
| 4СД12/25-5,5 | 2301 | 789 | 1512 | 11/2"-2" | f95 |
| 4СД12/29-7,5 | 2594 | 840 | 1754 | 11/2"-2" | f95 |
| 4СДМ16/4-1.1 | 862 | 392 | 470 | 2" | f95 |
| 4СДМ16/5-1,3 | 951 | 412 | 539 | 2" | f95 |
| 4СДМ16/6-1,5 | 1050 | 442 | 608 | 2" | f95 |
| 4СДМ16/8-1,8 | 1228 | 482 | 746 | 2" | f95 |
| 4СДМ16/9-2,2 | 1405 | 590 | 815 | 2" | f95 |
| 4СДМ16/10-2,6 | 1524 | 640 | 884 | 2" | f95 |
| 4СД16/11-3 | 1558 | 605 | 953 | 2" | f95 |
| 4СД16/13-3..7 | 1716 | 625 | 1091 | 2" | f95 |
| 4СД16/15-4 | 1874 | 645 | 1229 | 2" | f95 |
| 4СД16/17-5 | 2082 | 715 | 1367 | 2" | f95 |
| 4СД16/20-5,5 | 2369 | 789 | 1580 | 2" | f95 |
| 4СД16/22-7,5 | 2558 | 840 | 1718 | 2" | f95 |
| Числа | Имя |
| 1 | Зажимная пружина |
| 2 | Торцевая крышка |
| 3 | расширительная втулка |
| 4 | Несущий |
| 5 | Отношение |
| 6 | ротор двигателя |
| 7 | Отношение |
| 8 | Механическое уплотнение |
| 9 | статор электродвигателя |
| 10 | Электрический провод |
| 11 | Уплотнительное кольцо в форме буквы «О». |
| 12 | Топливная камера |
| 13 | Стиральная машина |
| 14 | Винт |
| 15 | Уплотнительное кольцо в форме буквы «О». |
| 16 | Винт |
| 17 | Болт с двойной головкой |
| 18 | Стиральная машина |
| 19 | Грецкие орехи |
| 20 | Крепёжное кольцо |
| 21 | Стиральная машина |
| 22 | Песчаная шапка |
| 23 | Экранирующая втулка кабеля |
| 24 | Винт |
| 25 | Крыло |
| 26 | Экран |
| 27 | присоска кронштейн |
| 28 | Кабельный зажим |
| 29 | Зажим. |
| 30 | Винт |
| 31 | Корпус насоса |
| 32 | Винт |
| 33 | муфта |
| 34 | Втулка |
| 35 | Здесь |
| 36 | Трубка |
| 37 | Средний |
| 38 | Колесо |
| 39 | Регулировочная шайба |
| 40 | Крышка диффузора |
| 41 | Диффузор |
| 42 | Трубка |
| 43 | Винт |
| 44 | Резиновый подшипник |
| 45 | Поддерживать |
| 46 | обратный клапан |
| 47 | Уплотнительное кольцо в форме буквы «О». |
| 48 | Экспорт |
1. Выключатели питания
2. Автоматическое управление кассетами.
3. Трубопровод
4. Клапан
5. Прокладка
6. Статический уровень
7. Верхний полюс
8. Кабель
9. Ну
10. Уровень перемешивания
11. Средний стержень
12. Корпус насоса
13. Нижний полюс
14. Подводные электродвигатели.
| размер | Напряжение (В) | Мощность (кВт) | Сечение кабеля (мм²) | 0,7 мм² | 1 мм² | 1,5 мм² | 2 мм² | 2,5 мм² | 3 мм² | 4 мм² | 6 мм² | 10 мм² | 16 мм² | 25 мм² | 35 мм² | 50 мм² |
| 4" | 220 | 0.37 | Длина кабеля (м) | 50 | 80 | 100 | ||||||||||
| 0.55 | 35 | 55 | 80 | 105 | 130 | |||||||||||
| 0.75 | 20 | 35 | 55 | 75 | 90 | 110 | 150 | |||||||||
| 0.95 | 32 | 52 | 70 | 85 | 105 | 140 | ||||||||||
| 1.1 | 30 | 48 | 60 | 79 | 100 | 127 | 190 | |||||||||
| 1.5 | 25 | 34 | 50 | 57 | 80 | 92 | 137 | 228 | ||||||||
| 1.8 | 23 | 32 | 48 | 55 | 78 | 90 | 135 | 226 | ||||||||
| 2.2 | 22 | 30 | 43 | 50 | 68 | 102 | 170 | 230 | ||||||||
| 3.0 | 25 | 30 | 45 | 60 | 80 | 120 | 200 | 330 | ||||||||
| 3.5 | 25 | 30 | 45 | 60 | 100 | 180 | 290 | |||||||||
| 4.0 | 25 | 35 | 55 | 90 | 150 | 220 | 300 |
| размер | Напряжение (В) | Мощность (кВт) | Сечение кабеля (мм²) | 0,7 мм² | 1 мм² | 1,5 мм² | 2 мм² | 2,5 мм² | 3 мм² | 4 мм² | 6 мм² | 10 мм² | 16 мм² | 25 мм² | 35 мм² | 50 мм² |
| 4" | 380 | 0.37 | Длина кабеля (м) | 200 | 315 | |||||||||||
| 0.55 | 100 | 210 | 320 | |||||||||||||
| 0.75 | 80 | 165 | 280 | |||||||||||||
| 1.1 | 120 | 180 | 250 | 308 | ||||||||||||
| 1.5 | 90 | 150 | 200 | 250 | 300 | 400 | ||||||||||
| 2.2 | 65 | 114 | 150 | 191 | 250 | 305 | 457 | |||||||||
| 6 дюймов | 3.0 | 77 | 100 | 128 | 170 | 205 | 307 | 390 | ||||||||
| 4.0 | 61 | 80 | 102 | 120 | 153 | 244 | 406 | |||||||||
| 5.5 | 47 | 60 | 70 | 90 | 110 | 165 | 312 | |||||||||
| 7.5 | 65 | 80 | 130 | 200 | 320 | |||||||||||
| 9.2 | 72 | 108 | 178 | 282 | 432 | |||||||||||
| 11 | 63 | 94 | 155 | 246 | 370 | |||||||||||
| 13 | 78 | 129 | 205 | 314 | ||||||||||||
| 15 | 69 | 114 | 180 | 277 | ||||||||||||
| 18.5 | 55 | 91 | 145 | 222 | 305 | |||||||||||
| 22 | 49 | 81 | 128 | 196 | 290 | |||||||||||
| 25 | 68 | 107 | 165 | 226 | 314 | |||||||||||
| 30 | 60 | 95 | 145 | 200 | 275 | |||||||||||
| 37 | 52 | 82 | 125 | 170 | 234 | |||||||||||
| 45.0 | 45 | 71 | 108 | 147 | 203 |