Бренд ZEN является крупным производителем и поставщиком погружных насосов 4SP для глубоких скважин в Китае. Идентификатор* 4сп.*4: Диаметр скважины: 100 мм (4 дюйма).*SP: погружные насосы серии QJ.* M: однофазный двигатель (трехфазный без M)*2: Производительность (м³/ч)* 06: Сцена* 0,37: Мощность двигателя (кВт).
1. Для подачи воды из колодцев или резервуаров.
2. Для бытового, гражданского и промышленного использования.
3. Для использования в саду и орошения.
1. Максимальная температура жидкости может достигать +35°С.
2. Максимальное содержание песка: 0,25%.
3. Максимальная глубина погружения: 100м.
4. Минимальный диаметр колодца: 4 дюйма.
1. Электродвигатель с несколькими обмотками или полностью закрытым экраном.
2. Трехфазный: 380–415 В/50 Гц.
3. Однофазный: 220–240 В/50 Гц.
4. Оборудован блоком управления запуском или цифровым автоматическим блоком управления.
5. Насосы спроектированы с учетом натяжения корпуса.
6. Стандарты размеров NEMA
1. Специальное механическое уплотнение.
2. Другие напряжения или частоты 60 Гц.
| Модель | П2 | Подача n = 2850 об/мин | ||||||||||||
| 1~220 В/240 В | 3~380 В/415 В | КВт | HP |
Q л/мин м³/ч |
0 | 8 | 17 | 25 | 30 | 34 | 42 | 50 | 58 | 67 |
| 0 | 0.5 | 1 | 1.5 | 1.8 | 2 | 2.5 | 3 | 3.5 | 4 | |||||
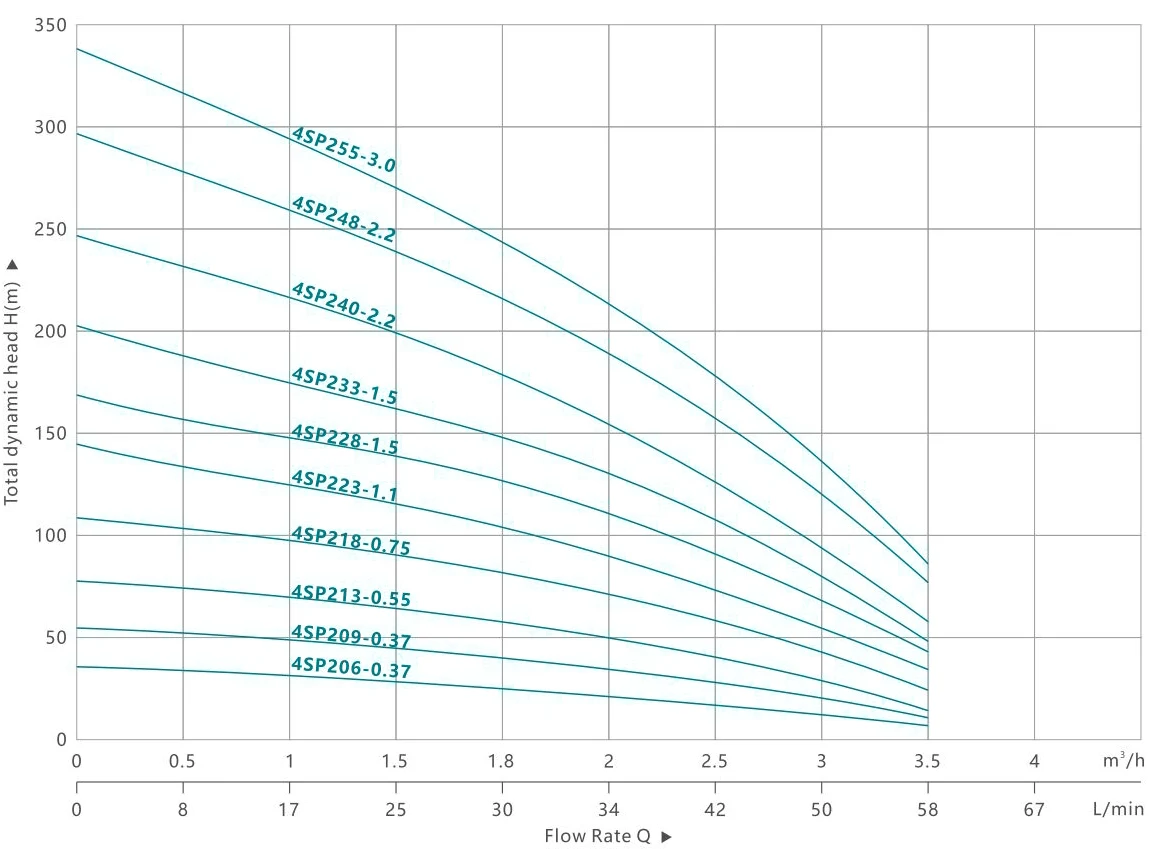
| 4СПМ206-0,37 | 4СП206-0,37 | 0.37 | 0.5 | Н(м) | 37 | 34 | 32 | 30 | 28 | 24 | 20 | 13 | 9 | 2 |
| 4СПМ209-0,37 | 4СП209-0,37 | 0.37 | 0.5 | 55 | 51 | 48 | 45 | 41 | 36 | 30 | 19 | 13 | 2 | |
| 4СПМ213-0,55 | 4СП213-0,55 | 0.55 | 0.75 | 79 | 74 | 69 | 65 | 60 | 52 | 43 | 27 | 19 | 2 | |
| 4СПМ218-0,75 | 4СП218-0,75 | 0.75 | 1.0 | 110 | 102 | 95 | 90 | 83 | 72 | 59 | 38 | 26 | 3 | |
| 4СПМ223-1.1 | 4СП223-1.1 | 1.1 | 1.5 | 140 | 130 | 122 | 115 | 106 | 92 | 76 | 48 | 33 | 3 | |
| 4СПМ228-1,5 | 4СП228-1,5 | 1.5 | 2.0 | 171 | 159 | 148 | 140 | 129 | 112 | 92 | 59 | 41 | 4 | |
| 4СПМ233-1,5 | 4СП233-1,5 | 1.5 | 2.0 | 201 | 187 | 175 | 165 | 152 | 132 | 109 | 69 | 48 | 5 | |
| 4СПМ240-2,2 | 4СП240-2,2 | 2.2 | 3.0 | 244 | 227 | 212 | 200 | 184 | 160 | 132 | 84 | 58 | 6 | |
| 4СПМ248-2,2 | 4СП248-2,2 | 2.2 | 3.0 | 293 | 272 | 254 | 240 | 221 | 192 | 158 | 101 | 70 | 7 | |
| 4СП255-3,0 | 3.0 | 4.0 | 336 | 312 | 292 | 275 | 253 | 220 | 182 | 116 | 80 | 8 | ||
| Модель | П2 | Подача n = 2850 об/мин | |||||||||||||
| 1~220 В/240 В | 3~380 В/415 В | КВт | HP |
Q л/мин м³/ч |
0 | 8 | 17 | 25 | 33 | 42 | 50 | 58 | 66 | 75 | 86 |
| 0 | 0.5 | 1 | 1.5 | 2 | 2.5 | 3 | 3.5 | 4 | 4.5 | 5.2 | |||||
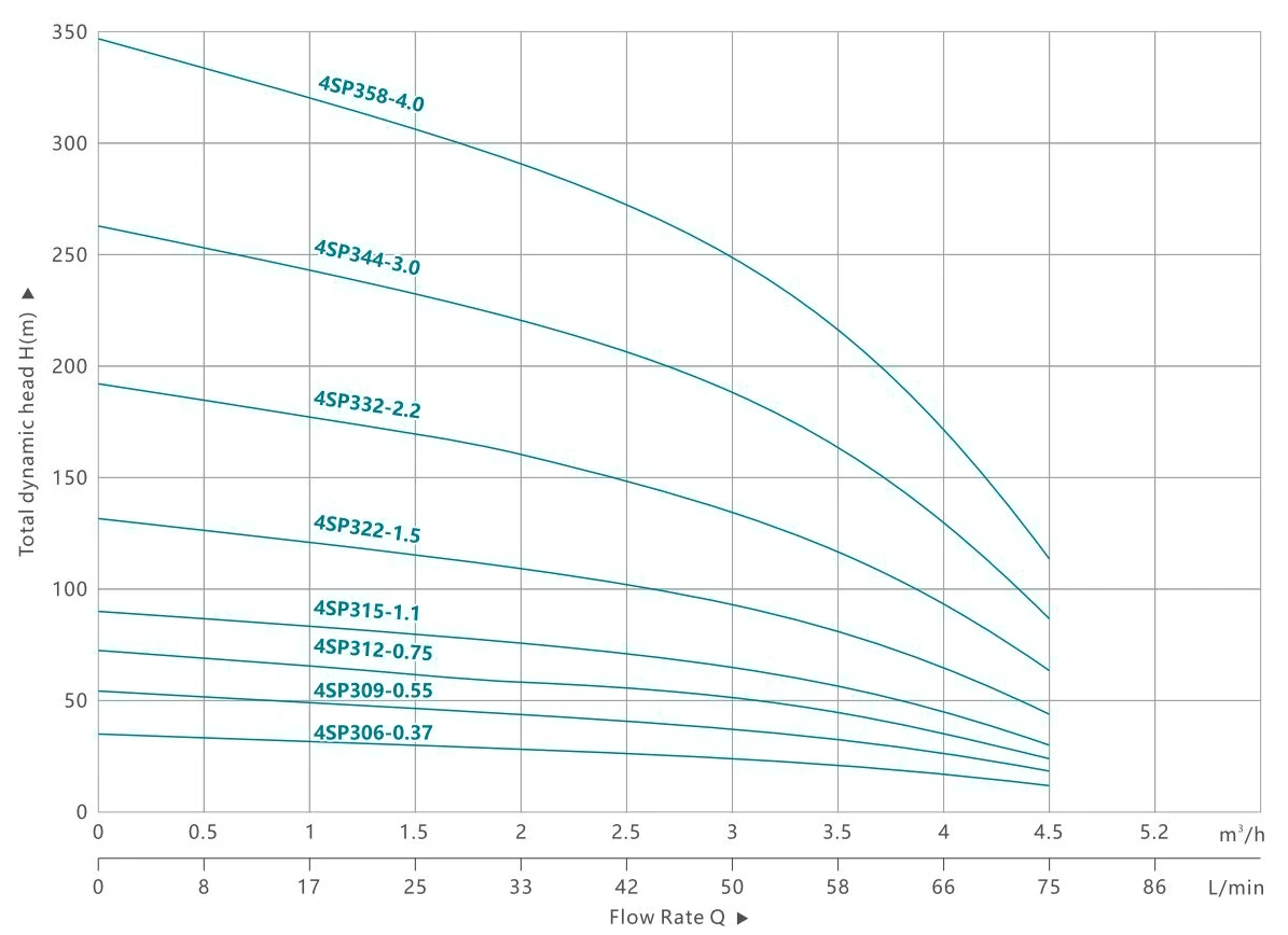
| 4СПМ306-0,37 | 4СП306-0,37 | 0.37 | 0.5 | Н(м) | 36 | 34 | 33 | 32 | 30 | 28 | 26 | 22 | 18 | 12 | 1 |
| 4СПМ309-0,55 | 4СП309-0,55 | 0.55 | 0.75 | 54 | 51 | 49 | 47 | 45 | 42 | 39 | 34 | 27 | 18 | 2 | |
| 4СПМ312-0,75 | 4СП312-0,75 | 0.75 | 1.0 | 72 | 68 | 66 | 63 | 60 | 56 | 52 | 44 | 36 | 24 | 2 | |
| 4СПМ315-1.1 | 4СП315-1.1 | 1.1 | 1.5 | 90 | 86 | 82 | 79 | 75 | 71 | 65 | 56 | 45 | 30 | 3 | |
| 4СПМ322-1,5 | 4СП322-1,5 | 1.5 | 2.0 | 132 | 125 | 121 | 116 | 110 | 103 | 95 | 82 | 66 | 44 | 4 | |
| 4СПМ332-2.2 | 4СП332-2,2 | 2.2 | 3.0 | 192 | 182 | 176 | 169 | 160 | 150 | 138 | 119 | 96 | 64 | 6 | |
| 4СП344-3.0 | 3.0 | 4.0 | 264 | 250 | 242 | 232 | 220 | 207 | 190 | 164 | 132 | 88 | 9 | ||
| 4СП358-4.0 | 4.0 | 5.5 | 348 | 330 | 319 | 306 | 290 | 272 | 250 | 216 | 174 | 116 | 12 | ||
| Модель | П2 | Подача n = 2850 об/мин | ||||||||||||
| 1~220 В/240 В | 3~380 В/415 В | КВт | HP |
Q л/мин м³/ч |
0 | 34 | 50 | 67 | 75 | 83 | 92 | 100 | 117 | 133 |
| 0 | 2 | 3 | 4 | 4.5 | 5 | 5.5 | 6 | 7 | 8 | |||||
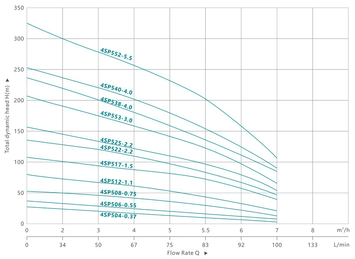
| 4СПМ504-0,37 | 4СП504-0,37 | 0.37 | 0.5 | Н(м) | 25 | 23 | 21 | 20 | 17 | 16 | 14 | 12 | 8 | 2 |
| 4СПМ506-0,55 | 4СП506-0,55 | 0.55 | 0.75 | 38 | 35 | 32 | 30 | 26 | 24 | 21 | 18 | 12 | 2 | |
| 4СПМ508-0,75 | 4СП508-0,75 | 0.75 | 1.0 | 50 | 46 | 42 | 40 | 34 | 32 | 28 | 24 | 16 | 3 | |
| 4СПМ512-1.1 | 4СП512-1.1 | 1.1 | 1.5 | 75 | 69 | 63 | 60 | 52 | 48 | 42 | 36 | 24 | 3 | |
| 4СПМ517-1,5 | 4СП517-1,5 | 1.5 | 2.0 | 106 | 98 | 89 | 85 | 73 | 68 | 60 | 51 | 34 | 4 | |
| 4СПМ522-2.2 | 4СП522-2.2 | 2.2 | 3.0 | 138 | 127 | 116 | 110 | 95 | 88 | 77 | 66 | 44 | 5 | |
| 4СПМ525-2,2 | 4СП525-2,2 | 2.2 | 3.0 | 156 | 144 | 131 | 125 | 108 | 100 | 88 | 75 | 50 | 6 | |
| 4СП533-3.0 | 3.0 | 4.0 | 206 | 190 | 173 | 165 | 142 | 132 | 116 | 99 | 66 | 7 | ||
| 4СП538-4.0 | 4.0 | 5.5 | 238 | 219 | 200 | 190 | 163 | 152 | 133 | 114 | 76 | 8 | ||
| 4СП540-4,0 | 4.0 | 5.5 | 250 | 230 | 210 | 200 | 172 | 160 | 140 | 120 | 80 | 9 | ||
| 4СП552-5,5 | 5.5 | 7.5 | 325 | 299 | 273 | 260 | 224 | 208 | 182 | 156 | 104 | 11 | ||
| Модель | П2 | Подача n = 2850 об/мин | ||||||||||||
| 1~220 В/240 В | 3~380 В/415 В | КВт | HP |
Q л/мин м³/ч |
0 | 83 | 100 | 117 | 133 | 150 | 167 | 183 | 200 | 208 |
| 0 | 5 | 6 | 7 | 8 | 9 | 10 | 11 | 12 | 12.5 | |||||
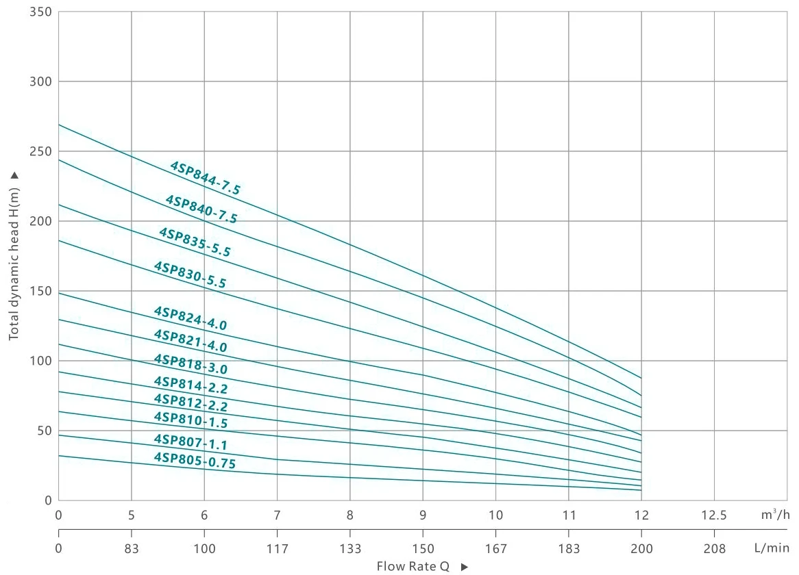
| 4СПМ805-0,75 | 4СП805-0,75 | 0.75 | 1.0 | Н(м) | 31 | 27 | 25 | 23 | 21 | 19 | 15 | 13 | 9 | 1 |
| 4СПМ807-1.1 | 4СП807-1.1 | 1.1 | 1.5 | 43 | 38 | 35 | 32 | 29 | 27 | 21 | 18 | 13 | 1 | |
| 4СПМ810-1,5 | 4СП810-1,5 | 1.5 | 2.0 | 61 | 54 | 50 | 46 | 42 | 38 | 30 | 25 | 19 | 2 | |
| 4СПМ812-2.2 | 4СП812-2.2 | 2.2 | 3.0 | 73 | 65 | 60 | 55 | 50 | 46 | 36 | 30 | 23 | 3 | |
| 4СПМ814-2.2 | 4СП814-2.2 | 2.2 | 3.0 | 85 | 76 | 70 | 64 | 59 | 53 | 42 | 35 | 27 | 3 | |
| 4СП818-3.0 | 3.0 | 4.0 | 110 | 97 | 90 | 83 | 76 | 68 | 54 | 45 | 35 | 4 | ||
| 4СП821-4.0 | 4.0 | 5.5 | 128 | 113 | 105 | 97 | 88 | 80 | 63 | 53 | 40 | 5 | ||
| 4СП824-4.0 | 4.0 | 5.5 | 146 | 130 | 120 | 110 | 101 | 91 | 72 | 60 | 46 | 6 | ||
| 4СП830-5,5 | 5.5 | 7.5 | 183 | 162 | 150 | 138 | 126 | 114 | 90 | 75 | 58 | 7 | ||
| 4СП835-5,5 | 5.5 | 7.5 | 214 | 189 | 175 | 161 | 147 | 133 | 105 | 88 | 67 | 8 | ||
| 4СП840-7,5 | 7.5 | 10 | 244 | 216 | 200 | 184 | 168 | 152 | 120 | 100 | 77 | 9 | ||
| 4СП844-7,5 | 7.5 | 10 | 268 | 238 | 220 | 202 | 185 | 167 | 132 | 110 | 85 | 10 | ||
| Модель | П2 | Подача n = 2850 об/мин | |||||||||||||
| 1~220 В/240 В | 3~380 В/415 В | КВт | HP |
Q л/мин м³/ч |
0 | 33 | 66 | 100 | 133 | 167 | 200 | 233 | 267 | 300 | 367 |
| 0 | 2 | 4 | 6 | 8 | 10 | 12 | 14 | 16 | 18 | 22 | |||||
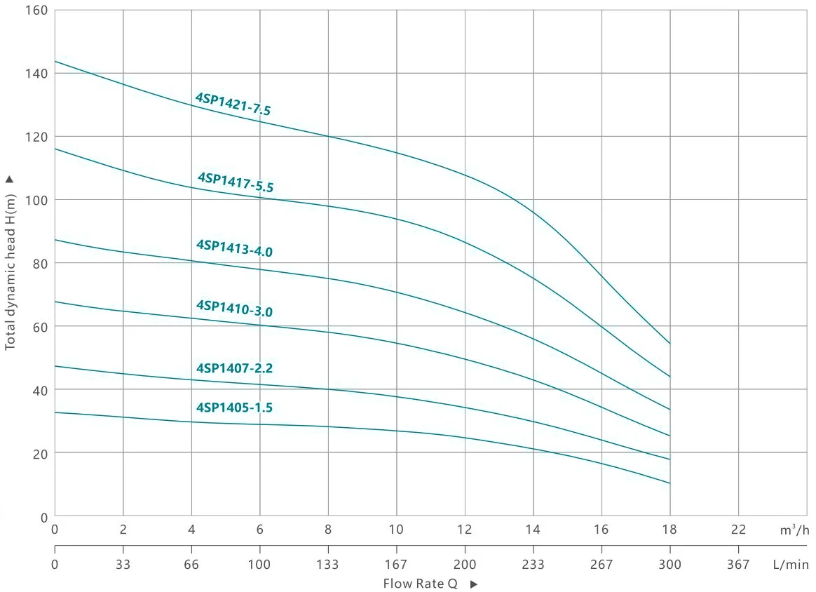
| 4СПМ1405-1,5 | 4СП1405-1,5 | 1.5 | 2.0 | Н(м) | 34 | 33 | 31 | 30 | 29 | 28 | 26 | 22 | 18 | 13 | 1 |
| 4СПМ1407-2.2 | 4СП1407-2.2 | 2.2 | 3.0 | 48 | 46 | 43 | 42 | 40 | 39 | 36 | 30 | 25 | 18 | 2 | |
| 4СП1410-3.0 | 3.0 | 4.0 | 68 | 65 | 62 | 60 | 58 | 55 | 51 | 43 | 35 | 26 | 3 | ||
| 4СП1413-4.0 | 4.0 | 5.5 | 88 | 85 | 81 | 78 | 75 | 72 | 66 | 56 | 46 | 34 | 3 | ||
| 4СП1417-5,5 | 5.5 | 7.5 | 116 | 111 | 105 | 102 | 98 | 94 | 87 | 73 | 60 | 44 | 4 | ||
| 4СП1421-7,5 | 7.5 | 10 | 143 | 137 | 130 | 126 | 121 | 116 | 107 | 90 | 74 | 55 | 5 | ||
| Парашютистский масштаб | |||||
| Модель | A | B | C | D | E |
| 4СПМ206-0,37 | 560 | 282 | 278 | 1¼"-1½" | f95 |
| 4СПМ209-0,37 | 633 | 292 | 341 | 1¼"-1½" | f95 |
| 4СПМ213-0,55 | 737 | 312 | 425 | 1¼"-1½" | f95 |
| 4СПМ218-0,75 | 867 | 332 | 535 | 1¼"-1½" | f95 |
| 4СПМ223-1.1 | 1047 | 412 | 635 | 1¼"-1½" | f95 |
| 4СПМ228-1,5 | 1162 | 422 | 740 | 1¼"-1½" | f95 |
| 4СПМ233-1,5 | 1287 | 442 | 845 | 1¼"-1½" | f95 |
| 4СПМ240-2,2 | 1494 | 502 | 992 | 1¼"-1½" | f95 |
| 4СПМ248-2,2 | 1687 | 527 | 1160 | 1¼"-1½" | f95 |
| 4СП240-2,2 | 1459 | 467 | 992 | 1¼"-1½" | f95 |
| 4СП248-2,2 | 1662 | 502 | 1160 | 1¼"-1½" | f95 |
| 4СП255-3,0 | 1859 | 552 | 1307 | 1¼"-1½" | f95 |
| 4СПМ306-0,37 | 570 | 292 | 278 | 1¼"-1½" | f95 |
| 4СПМ309-0,55 | 653 | 312 | 341 | 1¼"-1½" | f95 |
| 4СПМ312-0,75 | 736 | 332 | 404 | 1¼"-1½" | f95 |
| 4СПМ315-1.1 | 879 | 412 | 467 | 1¼"-1½" | f95 |
| 4СПМ322-1,5 | 1056 | 442 | 614 | 1¼"-1½" | f95 |
| 4СПМ332-2.2 | 1351 | 527 | 824 | 1¼"-1½" | f95 |
| 4СП332-2,2 | 1326 | 502 | 824 | 1¼"-1½" | f95 |
| 4СП344-3.0 | 1628 | 552 | 1076 | 1¼"-1½" | ①95 |
| 4СП358-4.0 | 1997 | 627 | 1370 | 1¼"-1½" | f95 |
| 4СПМ504-0,37 | 540 | 292 | 248 | 1¼"-1½" | f95 |
| 4СПМ506-0,55 | 608 | 312 | 296 | 1¼"-1½" | f95 |
| 4СПМ508-0,75 | 676 | 332 | 344 | 1¼"-1½" | f95 |
| 4СПМ512-1.1 | 852 | 412 | 440 | 1¼"-1½" | f95 |
| 4СПМ517-1,5 | 1002 | 442 | 560 | 1¼"-1½" | f95 |
| 4СПМ522-2.2 | 1182 | 502 | 680 | 1¼"-1½" | f95 |
| 4СПМ525-2,2 | 1279 | 527 | 752 | 1¼"-1½" | f95 |
| 4СП522-2.2 | 1147 | 467 | 680 | 1¼"-1½" | f95 |
| 4СП525-2,2 | 1254 | 502 | 752 | 1¼"-1½" | f95 |
| 4СП533-3.0 | 1496 | 552 | 944 | 1¼"-1½" | f95 |
| 4СП538-4.0 | 1666 | 602 | 1064 | 1¼"-1½" | f95 |
| 4СП540-4,0 | 1739 | 627 | 1112 | 1¼"-1½" | f95 |
| 4СП552-5,5 | 2112 | 712 | 1400 | 1¼"-1½" | f95 |
| Парашютистский масштаб | |||||
| Модель | A | B | C | D | E |
| 4СПМ805-0,75 | 750 | 332 | 418 | 1½"-2" | f95 |
| 4СПМ807-1.1 | 914 | 412 | 502 | 1½"-2" | f95 |
| 4СПМ810-1,5 | 1070 | 442 | 628 | 1½"-2" | f95 |
| 4СПМ812-2.2 | 1214 | 502 | 712 | 1½"-2" | f95 |
| 4СПМ814-2.2 | 1323 | 527 | 796 | 1½"-2" | f95 |
| 4СП812-2.2 | 1179 | 467 | 712 | 1½"-2" | f95 |
| 4СП814-2.2 | 1298 | 502 | 796 | 1½"-2" | f95 |
| 4СП818-3.0 | 1516 | 552 | 964 | 1½"-2" | f95 |
| 4СП821-4.0 | 1692 | 602 | 1090 | 1½"-2" | f95 |
| 4СП824-4.0 | 1843 | 627 | 1216 | 1½"-2" | f95 |
| 4СП830-5,5 | 2180 | 712 | 1468 | ½"-2" | f95 |
| 4СП835-5,5 | 2390 | 712 | 1678 | 1½"-2" | f95 |
| 4СП840-7,5 | 2690 | 802 | 1888 | 1½"-2" | f95 |
| 4СП844-7,5 | 2858 | 802 | 2056 | 1½"-2" | f95 |
| 4СПМ1405-1,5 | 860 | 442 | 418 | 2" | f95 |
| 4СПМ1407-2.2 | 1029 | 527 | 502 | 2" | f95 |
| 4СП1407-2.2 | 1004 | 502 | 502 | 2" | f95 |
| 4СП1410-3.0 | 1180 | 552 | 628 | 2" | f95 |
| 4СП1413-4.0 | 1381 | 627 | 754 | 2" | f95 |
| 4СП1417-5,5 | 1634 | 712 | 922 | 2" | f95 |
| 4СП1421-7,5 | 1892 | 802 | 1090 | 2" | f95 |
1. Выключатели питания
2. Автоматическое управление кассетами.
3. Трубопровод
4. Клапан
5. Прокладка
6. Статический уровень
7. Верхний полюс
8. Кабель
9. Ну
10. Уровень перемешивания
11. Средний стержень
12. Корпус насоса
13. Нижний полюс
14. Подводные электродвигатели.
| размер | Напряжение (В) | Мощность (кВт) | Сечение кабеля (мм²) | 0,7 мм² | 1 мм² | 1,5 мм² | 2 мм² | 2,5 мм² | 3 мм² | 4 мм² | 6 мм² | 10 мм² | 16 мм² | 25 мм² | 35 мм² | 50 мм² |
| 4" | 220 | 0.37 | Длина кабеля (м) | 50 | 80 | 100 | ||||||||||
| 0.55 | 35 | 55 | 80 | 105 | 130 | |||||||||||
| 0.75 | 20 | 35 | 55 | 75 | 90 | 110 | 150 | |||||||||
| 0.95 | 32 | 52 | 70 | 85 | 105 | 140 | ||||||||||
| 1.1 | 30 | 48 | 60 | 79 | 100 | 127 | 190 | |||||||||
| 1.5 | 25 | 34 | 50 | 57 | 80 | 92 | 137 | 228 | ||||||||
| 1.8 | 23 | 32 | 48 | 55 | 78 | 90 | 135 | 226 | ||||||||
| 2.2 | 22 | 30 | 43 | 50 | 68 | 102 | 170 | 230 | ||||||||
| 3.0 | 25 | 30 | 45 | 60 | 80 | 120 | 200 | 330 | ||||||||
| 3.5 | 25 | 30 | 45 | 60 | 100 | 180 | 290 | |||||||||
| 4.0 | 25 | 35 | 55 | 90 | 150 | 220 | 300 |
| размер | Напряжение (В) | Мощность (кВт) | Сечение кабеля (мм²) | 0,7 мм² | 1 мм² | 1,5 мм² | 2 мм² | 2,5 мм² | 3 мм² | 4 мм² | 6 мм² | 10 мм² | 16 мм² | 25 мм² | 35 мм² | 50 мм² |
| 4" | 380 | 0.37 | Длина кабеля (м) | 200 | 315 | |||||||||||
| 0.55 | 100 | 210 | 320 | |||||||||||||
| 0.75 | 80 | 165 | 280 | |||||||||||||
| 1.1 | 120 | 180 | 250 | 308 | ||||||||||||
| 1.5 | 90 | 150 | 200 | 250 | 300 | 400 | ||||||||||
| 2.2 | 65 | 114 | 150 | 191 | 250 | 305 | 457 | |||||||||
| 6 дюймов | 3.0 | 77 | 100 | 128 | 170 | 205 | 307 | 390 | ||||||||
| 4.0 | 61 | 80 | 102 | 120 | 153 | 244 | 406 | |||||||||
| 5.5 | 47 | 60 | 70 | 90 | 110 | 165 | 312 | |||||||||
| 7.5 | 65 | 80 | 130 | 200 | 320 | |||||||||||
| 9.2 | 72 | 108 | 178 | 282 | 432 | |||||||||||
| 11 | 63 | 94 | 155 | 246 | 370 | |||||||||||
| 13 | 78 | 129 | 205 | 314 | ||||||||||||
| 15 | 69 | 114 | 180 | 277 | ||||||||||||
| 18.5 | 55 | 91 | 145 | 222 | 305 | |||||||||||
| 22 | 49 | 81 | 128 | 196 | 290 | |||||||||||
| 25 | 68 | 107 | 165 | 226 | 314 | |||||||||||
| 30 | 60 | 95 | 145 | 200 | 275 | |||||||||||
| 37 | 52 | 82 | 125 | 170 | 234 | |||||||||||
| 45.0 | 45 | 71 | 108 | 147 | 203 |